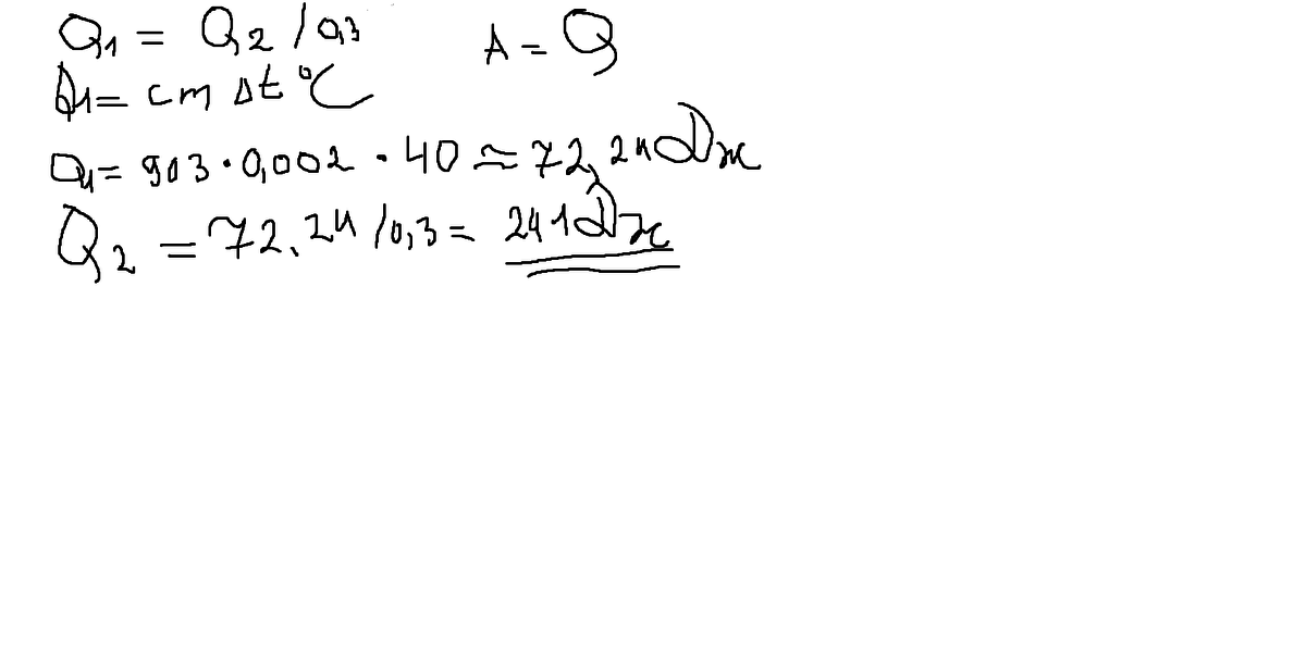
Многократное перегиб проволоки из алюминия массой 2 г нагревает его на 40 К. Какова была осуществлена работа, если только 30% ее пошло на нагревание проволоки?
Ответы
Ответ дал:
0
,,,,,,,,,,,,,,,,,,,,,,,,,,,,,,,,,,,,,,,,,,,,,,
Приложения:

Вас заинтересует
2 года назад
7 лет назад
7 лет назад
10 лет назад