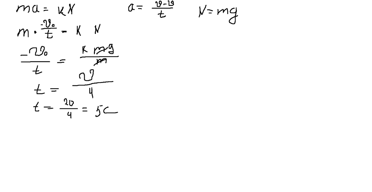
Автомобиль движущийся со скоростью 72 км в час,начал аварийное торможение.Через сколько времени он остановится,если коэффициент торможения равен 0,4?
Ответы
Ответ дал:
0
,,,,,,,,,,,,,,,,,,,,,,,,,,,,,,,,,,,,,,,,,,,,
Приложения:

Вас заинтересует
2 года назад
2 года назад
7 лет назад
7 лет назад
10 лет назад
10 лет назад
10 лет назад