1) Тело массой 30кг движется со скоростью 0,4 м/с. Чему равен импульс ?2) Кинетическая энергия равна 1,2 Дж, масса тела 0,1кг. Чему равна скорость ?
Ответы
Ответ дал:
0
,,,,,,,,,,,,,,,,,,,,,,,,,,,,,,,
Приложения:

Ответ дал:
0
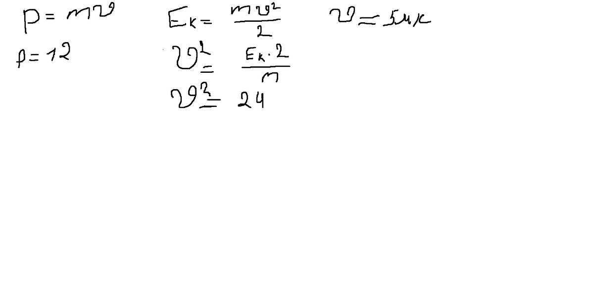
1. 30 * 0.4 = 12 кг*м/с
2. 1.2 * 2 / 0.1 = 24 и корень из 24 = 4.9 м/с
2. 1.2 * 2 / 0.1 = 24 и корень из 24 = 4.9 м/с
Приложения:

Ответ дал:
0
Я быстрее)
Вас заинтересует
2 года назад
2 года назад
7 лет назад
7 лет назад
10 лет назад
10 лет назад