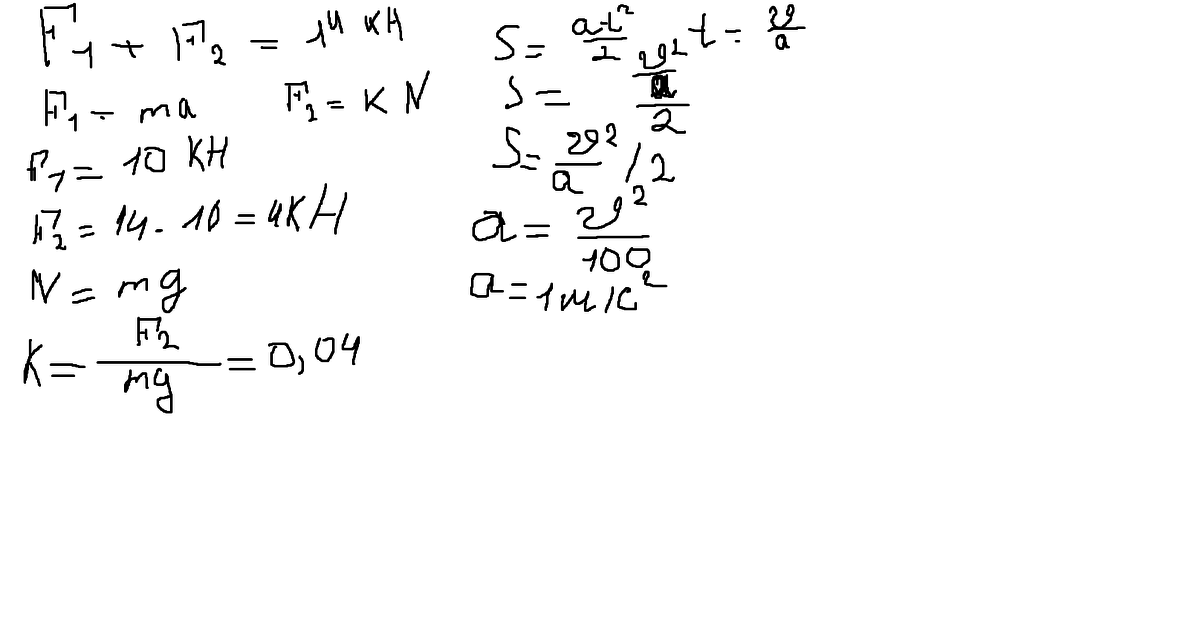
Троллейбус с массой 10 т, трогаясь с места, приобрел на пути 50 м скорость 10 м/с. Найти коэффициент сопротивления, если сила тяги равна 14 кН.
Ответы
Ответ дал:
0
,,,,,,,,,,,,,,,,,,,,,,,,,,,,,,,,,,,,,,,,,,,,,,,,,,,,,,,,
Приложения:

Вас заинтересует
2 года назад
2 года назад
7 лет назад
10 лет назад
10 лет назад