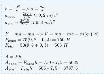
Отец весом 75 кг и его сын 50кг поднимаются по лестнице высотой 7,5 метров. Отцу требуется 8,6 секунд его сыну 7.1 секунда. Кто выполняет большую работы ? (доказать решением)
Ответы
Ответ дал:
0
Большую работу выполнит отец на 1837,5 Дж, что есть логичным.
Приложения:

Вас заинтересует
2 года назад
7 лет назад
7 лет назад
10 лет назад
10 лет назад
10 лет назад