Ответы
Ответ дал:
0
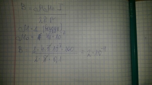
Для 401 (Мо=4п*10в -7)(М=скорее всего будет 1,т.к. не сказана среда)
Приложения:


Ответ дал:
0
351)q = u*c => u = q/c
q1+ q2 = q
с = с1*с2/(с1+с2)
q1 = u1*c1
q2 = u2*c2
u = q/c !!!
q1+ q2 = q
с = с1*с2/(с1+с2)
q1 = u1*c1
q2 = u2*c2
u = q/c !!!
Ответ дал:
0
Спасибо!А можно более подробное описание ко второй формуле в 401 задании?
Вас заинтересует
2 года назад
10 лет назад
10 лет назад