Ответы
Ответ дал:
0
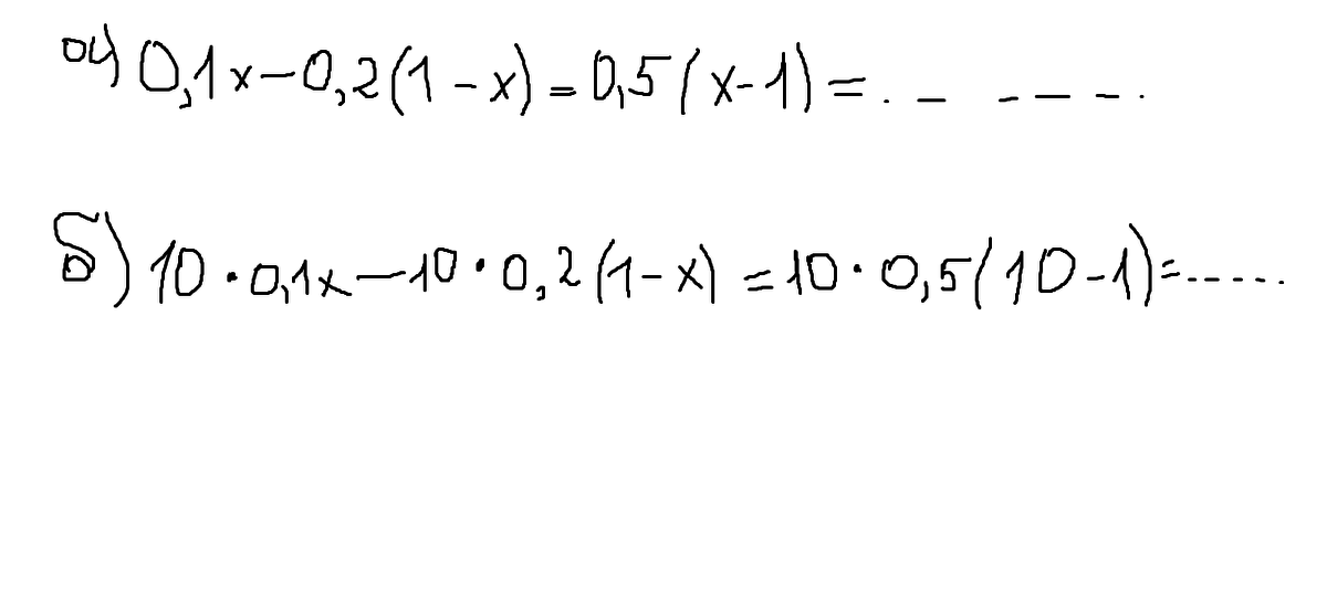
0,1x - 0,2 - 0,2x = 0,5x - 0,5
0,1x - 0,2x - 0,5x = -0,5 + 0,2
-0,6x = 1,5
x = -2,5
x - 10*0,2 - 0,2x = 10*5 - 0,5
x - 2 - 0,2x = 50 - 0,5
0,8x = 50 - 0,5 + 2
0,8x = 51,5
x = 64,375
ТУТ МОЖЕТ БЫТЬ ОШИБКА, ПЕРЕПРОВЕРЬ.
0,1x - 0,2x - 0,5x = -0,5 + 0,2
-0,6x = 1,5
x = -2,5
x - 10*0,2 - 0,2x = 10*5 - 0,5
x - 2 - 0,2x = 50 - 0,5
0,8x = 50 - 0,5 + 2
0,8x = 51,5
x = 64,375
ТУТ МОЖЕТ БЫТЬ ОШИБКА, ПЕРЕПРОВЕРЬ.
Вас заинтересует
3 года назад
8 лет назад
8 лет назад
10 лет назад
10 лет назад
11 лет назад