• Предмет: Алгебра
  • Автор: PuOnEr4ik
  • Вопрос задан 10 лет назад

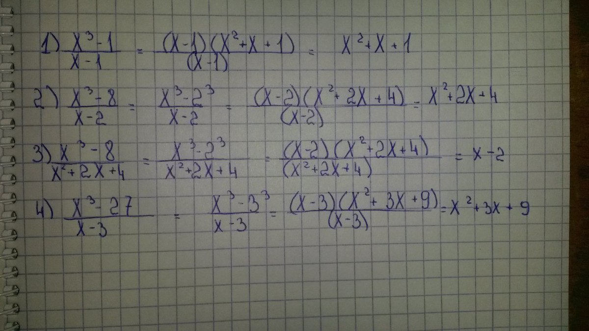
Cократите дроби
1) x^{3}-1
         x-1
2) x^{3}-8
         x-2
3) x^{3}-8
       x+2x+4
4) x^{3}-27          
            x-3

Ответы

Ответ дал: DayLong
0
Решение во вложении)
Приложения:
Вас заинтересует