Ответы
Ответ дал:
0
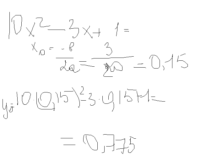
Вот тебе решение в рисунках,попробуй по моему решению построить , получится, безусловно, равнее. Я просотна пэините рисовала)
Приложения:


Вас заинтересует
2 года назад
2 года назад
8 лет назад
8 лет назад
10 лет назад
10 лет назад
10 лет назад