• Предмет: Алгебра
  • Автор: Ablai97
  • Вопрос задан 10 лет назад

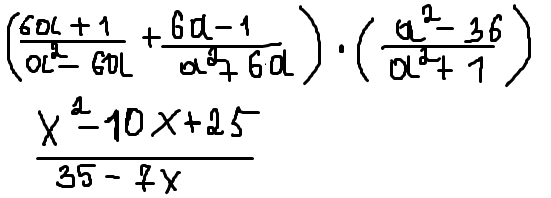
помогите с решением.......

Приложения:

Ответы

Ответ дал: Artem112
0
( frac{6a+1}{a^2-6a}+ frac{6a-1}{a^2+6a}  )cdot frac{a^2-36}{a^2+1} =
( frac{6a+1}{a(a-6)}+ frac{6a-1}{a(a+6)}  )cdot frac{a^2-36}{a^2+1} =
\
= frac{(6a+1)(a+6)+(6a-1)(a-6)}{a(a-6)(a+6)}cdot frac{a^2-36}{a^2+1} =
 frac{6a^2+36a+a+6+6a^2-36a-a+6}{a(a-6)(a+6)}cdot frac{a^2-36}{a^2+1} =
\
= frac{12a^2+12}{a(a-6)(a+6)}cdot frac{(a-6)(a+6)}{a^2+1} = frac{12(a^2+1)(a-6)(a+6)}{a(a-6)(a+6)(a^2+1)}= frac{12}{a}

 frac{x^2-10x+25}{35-7x} = frac{(5-x)^2}{7(5-x)} = frac{5-x}{7}
Вас заинтересует