• Предмет: Физика
  • Автор: Григо
  • Вопрос задан 11 лет назад

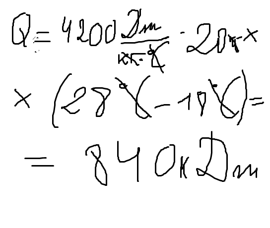
какое количество теплоты потребуется для нагревания 20 кг воды от 18 до 28 градусов цельсия

Ответы

Ответ дал: Johnmember
0

Вычисляем по формуле

Q=cm(t2-t1) ))))))))))))))))

 

Приложения:
Ответ дал: Аноним
0

Q=20кг*4200джкг*С*(28-18)=840000Дж или 840 Кдж

 

Приложения:
Вас заинтересует