Ответы
Ответ дал:
0
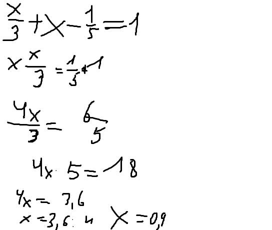
х/3+х-1/5=1 (умножим обе части на 15)
5х+15х-3=15
20х=18
х=18/20
х=0.9
Ответ дал:
0
Совершенно верно. на картинку )))))))))))
Приложения:

Вас заинтересует
2 года назад
8 лет назад
10 лет назад
10 лет назад