• Предмет: Алгебра
  • Автор: Аноним
  • Вопрос задан 10 лет назад

Помогите пожалуйста с Алгеброй номер 116(б,в) 117(а,б) фото во вложений 

Приложения:

Ответы

Ответ дал: agasikkk
0
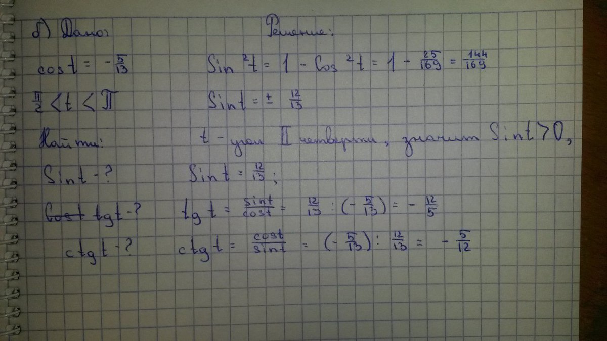
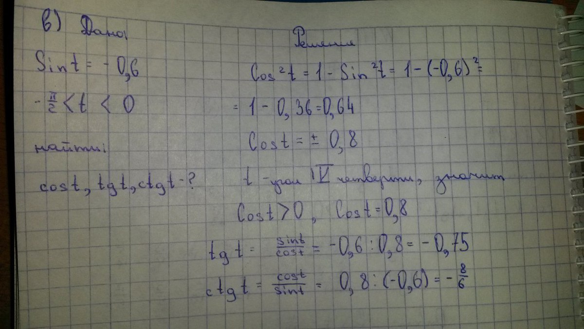
Во вложении, когда нам дан синус или косинус,и нам надо найти косинус или синус,знак берем что нам найти надо,а вот насчет тангенсов и катангенсов сомнение есть
Приложения:
Ответ дал: Аноним
0
Спасибо )
Ответ дал: DayLong
0
Решение во вложении)))))
Приложения:
Ответ дал: DayLong
0
Остальные задания решаются аналогично
Ответ дал: Аноним
0
Спасибо)
Вас заинтересует