• Предмет: Геометрия
  • Автор: Dilyara201412
  • Вопрос задан 10 лет назад

Помогите плиз)
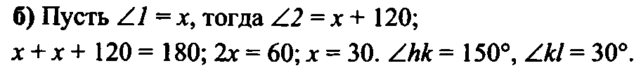
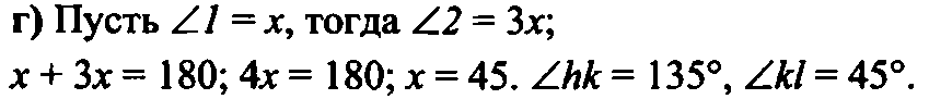
Найдите смежные углы hk и kl, если:
г) угол hk=3kl
д) угол hk:kl=5:4

Ответы

Ответ дал: Lyutoevalana2303
0
Сумма смежных углов равна 180°
Приложения:
Ответ дал: Dilyara201412
0
а д)
Ответ дал: Lyutoevalana2303
0
а ок
Вас заинтересует