Ответы
Ответ дал:
0
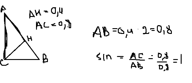
Ответ в прикреплении, но не очень я уверен в нём :)
Приложения:

Ответ дал:
0
Вас заинтересует
2 года назад
2 года назад
7 лет назад
7 лет назад
10 лет назад
10 лет назад
10 лет назад