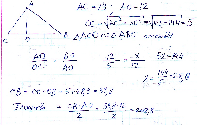
найдите площадь прямоугольного треугольника, один из катетов которого равен 13, а высота, опущенная на гипотенузу, равна 12.
Ответы
Ответ дал:
0
Получится вот так :)
Приложения:

Ответ дал:
0
Смотрите вложение. .............
Приложения:

Вас заинтересует
2 года назад
7 лет назад
7 лет назад
10 лет назад
10 лет назад
10 лет назад
10 лет назад