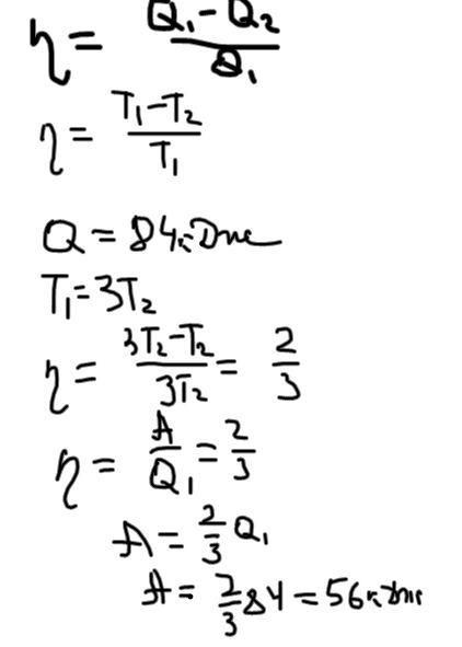
Газ, совершающий цикл Карно, получает от нагревателя 84 кДж теплоты. Найти работу газа за один цикл, если температура нагревателя в три раза больше температуры холодильника
Ответы
Ответ дал:
0
Задача решается с использованием понятия коэффмцмента полезного действия через количества теплоты и для для идеального ТД через температуры нагревателя и холодильника
Приложения:

Вас заинтересует
2 года назад
2 года назад
8 лет назад
8 лет назад
10 лет назад
10 лет назад
10 лет назад