• Предмет: Алгебра
  • Автор: Lamakin
  • Вопрос задан 10 лет назад

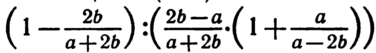
Упростите выражение, пожалуйста.

Приложения:

Ответы

Ответ дал: Уравнитель
0
Ответ:-2б разделить на а
Ответ дал: Уравнитель
0
Возможно, я ошиблась.
Ответ дал: Lamakin
0
проверьте пожалуйста, мне важен ответ)
Вас заинтересует