• Предмет: Алгебра
  • Автор: неудачницаа
  • Вопрос задан 10 лет назад

объясните, пожалуйста, как это делается:

(найти производную функции)
2x        .1
___ + ___
1-x²     .x

Ответы

Ответ дал: Аноним
0
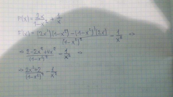
f(x)= frac{2x}{1- x^{2} } + frac{1}{x}  \ 
f'(x)= frac{(2x)'*(1- x^{2} )-2x*(1- x^{2} )}{(1- x^{2} )^{2}} - frac{1}{ x^{2} } = frac{2(1- x^{2} )-2x*(-2x)}{(1- x^{2} )^{2}} - frac{1}{ x^{2} } =   \ 
frac{2-2 x^{2} +4 x^{2} }{(1- x^{2} )^{2}} - frac{1}{ x^{2} } =  frac{2+2 x^{2}  }{(1- x^{2} )^{2}} - frac{1}{ x^{2} } = frac{4 x^{2} - x^{4}+1 }{ x^{2} (1- x^{2} )^{2}}  \
Ответ дал: agasikkk
0
А разве они подобны последнее действие?
Ответ дал: agasikkk
0
Я думаю последнее действие  отнимать там не надо,ведь это же производная так и оставляем.
Приложения:
Вас заинтересует