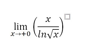
решить предел с натуральным логарифмом, где x стремится к наименьшему положительному числу
Приложения:

Ответы
Ответ дал:
0
lim(x/ln√x)=lim(x)`/(ln√x)`=lim(1:1/√x*1/2√x)=lim(1:1/2x)=lim(2x)=2*0=0
Ответ дал:
0
не к 0, а к +0
Вас заинтересует
2 года назад
2 года назад
7 лет назад
7 лет назад
10 лет назад
10 лет назад
10 лет назад
10 лет назад