• Предмет: Алгебра
  • Автор: Mir0807
  • Вопрос задан 11 лет назад

Решите уровнение

1) 3*(0,5x-4)+8,5x+18

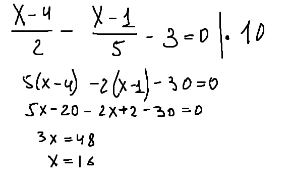
2) x-4:2-x-1:5-3=0

3)(6-x)*(5x+40=0

Ответы

Ответ дал: мышкамалышка
0

3*(0,5х-4)+8,5х+18=0

1,5х-12+8,5х+18=0

1,5х+8,5х=12-18

10х=-6

х=-6/10

х=-3/5

 

 

 

 

Ответ дал: Аноним
0

Решение:

см. вложение

=============

 

Приложения:
Вас заинтересует