• Предмет: Алгебра
  • Автор: annasummer6
  • Вопрос задан 10 лет назад

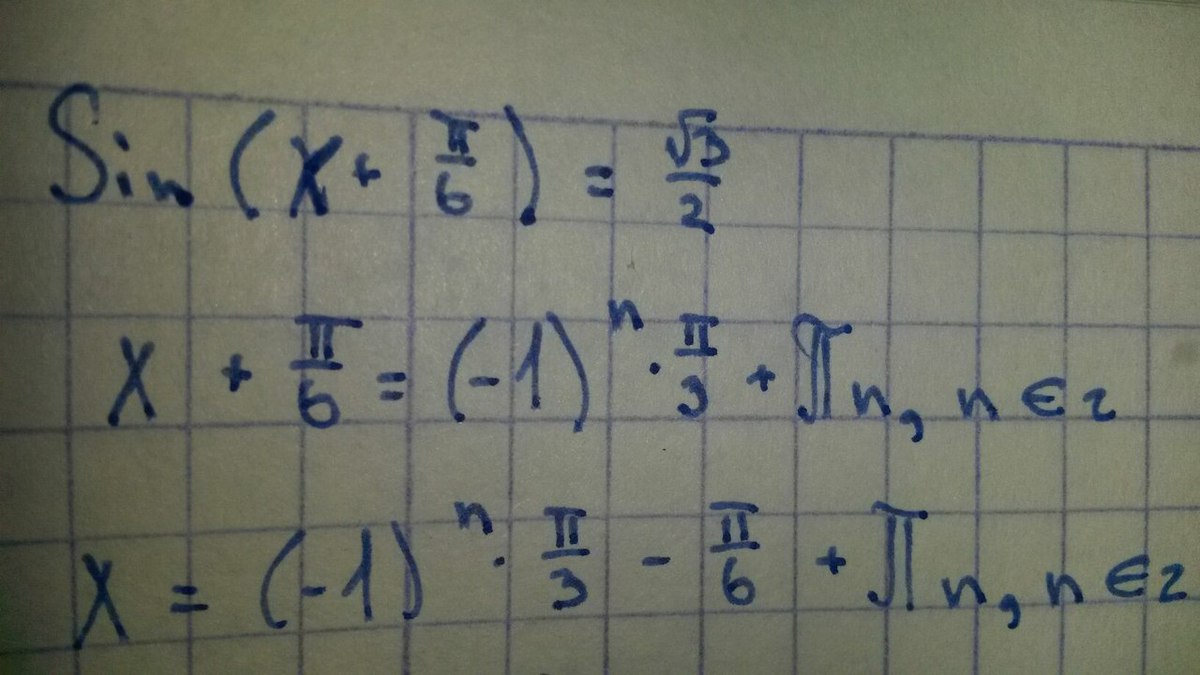
Найдите наибольший отрицательный корень уравнения sin (x+П/6)=корень из 3/2

Ответы

Ответ дал: ВладимирКолодяжный
0
sin(x+p/6)=sqrt3/2
x = p/6 + 2pn, где n принадлежит целым А минимального ответа не существует.
Ответ дал: DayLong
0
)))))))))))))))))))))))))))))
Приложения:
Вас заинтересует