• Предмет: Алгебра
  • Автор: Nameles
  • Вопрос задан 11 лет назад

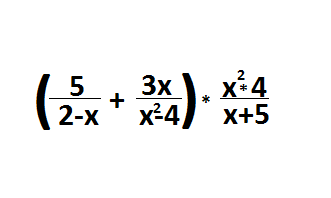
Решите пример. Фото врнутри. 

Приложения:

Ответы

Ответ дал: Аноним
0

Решение:

см.вложение

================================

Приложения:
Ответ дал: rokfeller007
0

(5/2-x + 3x/x^2-4)*4x^2/x+5=(-2x-10)*(4x^2)/(x-2)(x+2)(x+5) =-8x^2/ (x-2)(x+2)

Ответ:-8x^2/ (x-2)(x+2)                

Если во втором множителе должно быть не так: x^2*4 а так: x^2-4   ,то другое решние:

 

                                                  (-2x-10)*(x^2+4)   -2*((x-2)(x+2))

(5/2-x + 3x/x^2-4)*(x^2+4/x+5)= ------------------ = ------------------=-2

                                                  (x-2)(x+2)(x+5)     (x-2)(x+2)

Приложения:
Вас заинтересует