• Предмет: Физика
  • Автор: Menore
  • Вопрос задан 11 лет назад

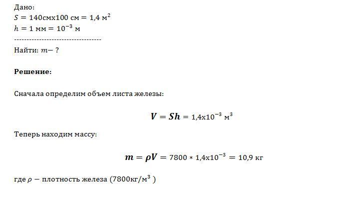
Определите массу листа железа размером 140Х100 см и толщиной 1 мм?

Ответы

Ответ дал: livres
0

Решение во вложении:

Приложения:
Вас заинтересует