• Предмет: Алгебра
  • Автор: Vormys
  • Вопрос задан 10 лет назад

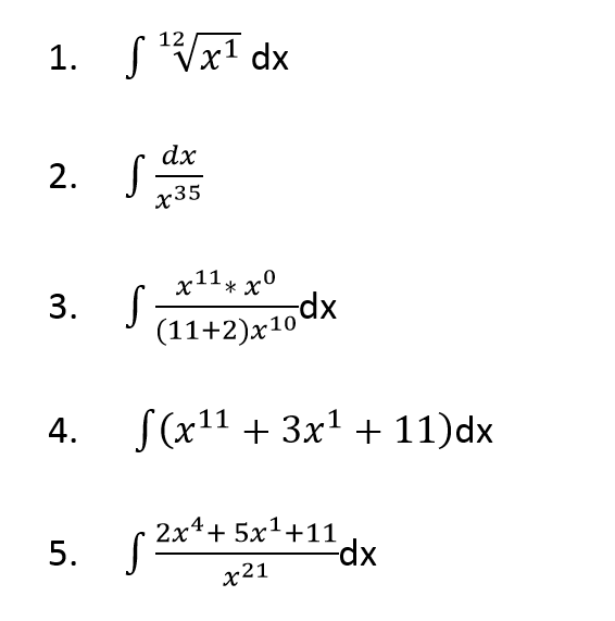
Помогите пожалуйста вычислить интегралы!

Приложения:

Ответы

Ответ дал: manyny06
0
решение смотри на фотографии
Приложения:
Вас заинтересует