Ответы
Ответ дал:
0
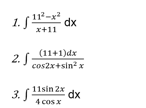
1) 
.+C
2)
.
3)
2)
3)
Ответ дал:
0
Спасибо большое!
Вас заинтересует
3 года назад
3 года назад
8 лет назад
10 лет назад
10 лет назад