• Предмет: Математика
  • Автор: heydayofsun
  • Вопрос задан 10 лет назад

Помогите с подробным решением. что-то не очень получается

Приложения:

Ответы

Ответ дал: Trover
0
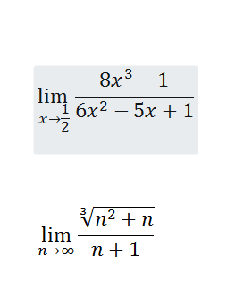
1.;limlimits_{xrightarrowfrac12}frac{8x^3-1}{6x^2-5x+1}\8x^3-1=(2x)^3-1^3=(2x-1)(4x^2+2x+1)\6x^2-5x+1=0\D=25-4cdot6=1\x_1=frac13,;x_2=frac12\6(x-frac13)(x-frac12)=0\(3x-1)(2x-1)=0\limlimits_{xrightarrowfrac12}frac{8x^3-1}{6x^2-5x+1}=limlimits_{xrightarrowfrac12}frac{(2x-1)(4x^2+2x+1)}{(3x-1)(2x-1)}=limlimits_{xrightarrowfrac12}frac{(4x^2+2x+1)}{(3x-1)}=frac3{frac12}=6

2.;limlimits_{nrightarrowinfty}frac{sqrt[3]{n^2+n}}{n+1}=limlimits_{nrightarrowinfty}frac{sqrt[3]{n^2+n}}{sqrt[3]{(n+1)^3}}=limlimits_{nrightarrowinfty}sqrt[3]{frac{{n(n+1})}{(n+1)^3}}=limlimits_{nrightarrowinfty}sqrt[3]{frac{n}{(n+1)^2}}=\={limlimits_{nrightarrowinfty}sqrt[3]{frac{n}{n^2+2n+1}}}=limlimits_{nrightarrowinfty}sqrt[3]{frac{n}{n^2(1+frac2n+frac1{n^2})}}=limlimits_{nrightarrowinfty}sqrt[3]{frac{1}{n(1+frac2n+frac1{n^2})}}approx
approxlimlimits_{nrightarrowinfty}sqrt[3]{frac1n}=0
Ответ дал: Trover
0
2*1/2 = 1, так?
Ответ дал: Trover
0
1+1+1 = 3, так?
Ответ дал: Trover
0
3*1/2-1 = 1,5-1 = 0,5 = 1/2, так?
Ответ дал: Trover
0
Ну и 3/0,5 = 6.
Ответ дал: heydayofsun
0
Спасибо большое за объяснения
Вас заинтересует