Ответы
Ответ дал:
0
Решение
Знаки интеграла проставите сами
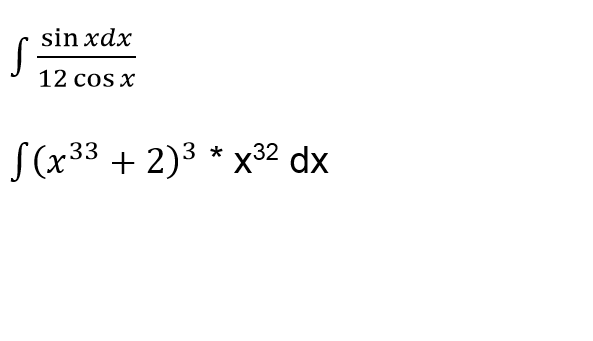
1) Интеграл 1/12*(d(cosx)/cosx = 1/12 ln IcosxI + c
2) Интеграл (x∧33 + 2)∧3(dx∧33) = (x∧33 + 2)∧4 / 4 + c
Знаки интеграла проставите сами
1) Интеграл 1/12*(d(cosx)/cosx = 1/12 ln IcosxI + c
2) Интеграл (x∧33 + 2)∧3(dx∧33) = (x∧33 + 2)∧4 / 4 + c
Вас заинтересует
2 года назад
2 года назад
8 лет назад
8 лет назад
10 лет назад
11 лет назад