• Предмет: Алгебра
  • Автор: Теребонька007
  • Вопрос задан 10 лет назад

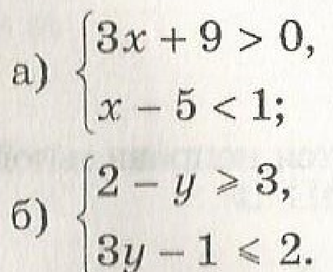
Пожалуйста помогите решить системы вот фотка!!Пожаллуйтса))))))))))

Приложения:

Ответа на этот вопрос пока нет. Попробуйте найти его через форму поиска.

Вас заинтересует