Помогите решить систему уравнений:
2x^2-y^2=14
3x+2y=5
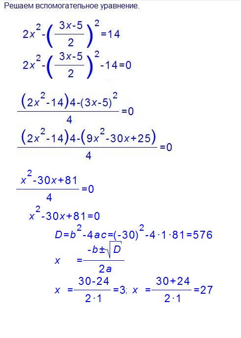
я застряла на 2x^2-6,25=7,5x-2,25x^2=14
Каким-то образом должно получиться x^2-30x+81=0
Но как получить это уравнение?...
Ответы
Ответ дал:
0
{2x^2-y^2=14
{3x+2y=5
{2x^2-y^2=14
{x=-((2y-5)/3)
2*((2y-5)/3)^2-y^2=14
y^2+40y+76=0
D=1296>0
y1=-38
y2=-2
2 случая
Приложения:


Вас заинтересует
2 года назад
2 года назад
8 лет назад
8 лет назад
10 лет назад
10 лет назад
10 лет назад