• Предмет: Алгебра
  • Автор: Аноним
  • Вопрос задан 11 лет назад

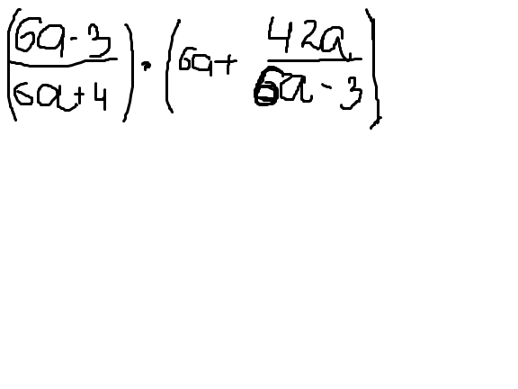
Упростите выражение(с картинкой).СРОЧНО!!!с подробными действиями.

Приложения:

Ответы

Ответ дал: nastya98g
0

6а-3/6а+4*(6а+42а/6а-3)

1)   (6а+42а/6а-3)= 36а2(степень)-18а/6а-3+42а/6а-3 =  36а2-18а+42а /6а-3= 36а2 + 24а /6а-3

2)   6а-3/6а+4*36а2 + 24а /6а-3 = (6а-3)* 6а(6а+4)/ (6а+4)* (6а-3)=   (6а-3)сокращается с (6а-3), а  (6а+4) сокращается с (6а+4)и ответ равен 6а.

Ответ: 6а 

Вас заинтересует