• Предмет: Алгебра
  • Автор: Юлияюля1515
  • Вопрос задан 10 лет назад

Помогите решить уравнение!!!
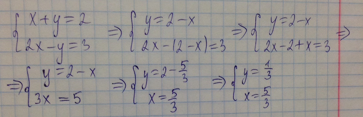
Решите систему уравнений методом подстановки:
{х+у=2
2х-у=3 Пожалуйстааааааа!)

Ответы

Ответ дал: Inna0512
0
Решение системы уравнений методом подстановки
Приложения:
Ответ дал: Юлияюля1515
0
Почему 2х-(2-х)=3 2 не умножали на скобку?
Вас заинтересует