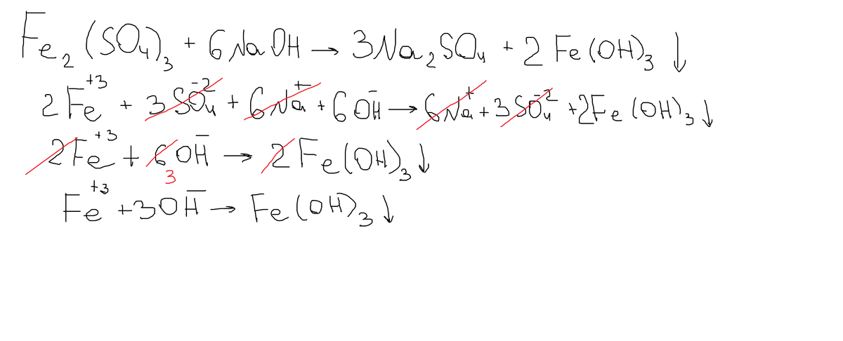
составьте уравнения реакций, протекающих в водных растворах, в молекулярной, ионной и сокращенной ионной формах: между сульфатом железа (3) и гидроксидом натрия
Ответы
Ответ дал:
0
Решение на картинке)))
Приложения:

Вас заинтересует
2 года назад
2 года назад
7 лет назад
7 лет назад
10 лет назад
10 лет назад
10 лет назад