• Предмет: Алгебра
  • Автор: veronik226798
  • Вопрос задан 10 лет назад

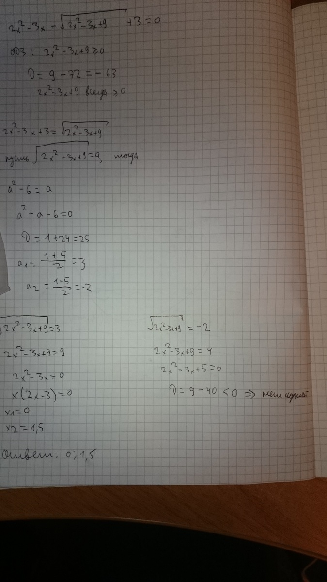
Решить уравнение алгебра 10 классСпасибл зара нее.

Приложения:

Ответы

Ответ дал: ProstoD
0
Решение во вложенном файле
Приложения:
Вас заинтересует