Ответы
Ответ дал:
0
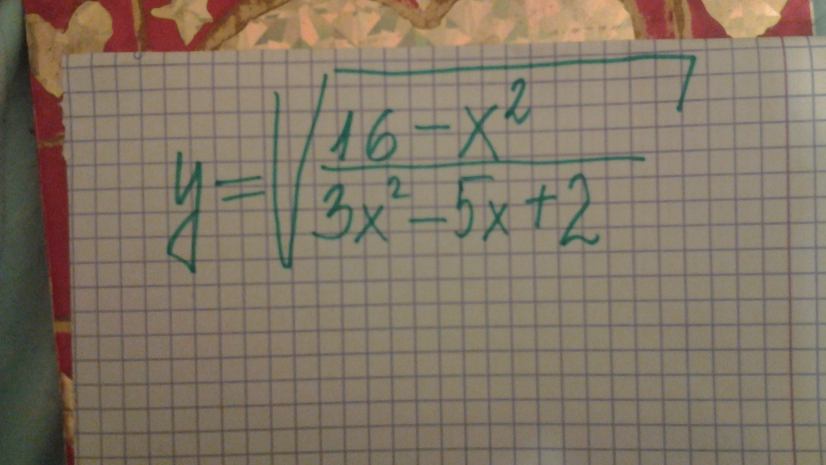
Всё подробно написала в решении...
Приложения:

Ответ дал:
0
а почему (х-2/3)(х-1)?
Вас заинтересует
2 года назад
2 года назад
7 лет назад
10 лет назад
10 лет назад
10 лет назад
10 лет назад