• Предмет: Алгебра
  • Автор: Аноним
  • Вопрос задан 11 лет назад

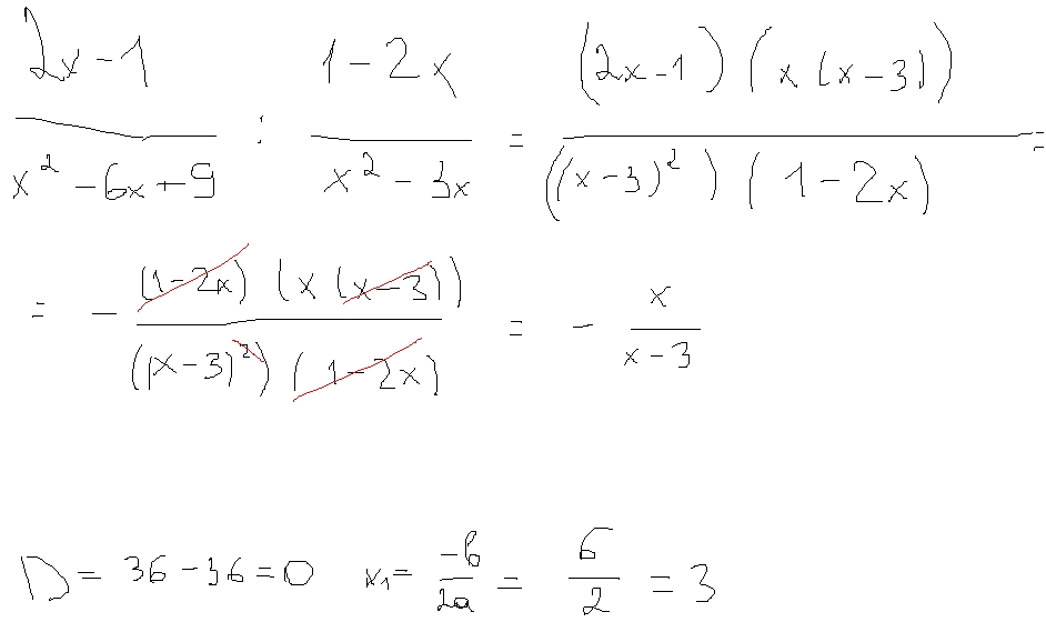
2x-1/x²-6x+9 : 1-2x/x²-3x=

 

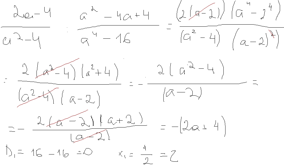
2a-4/a²+4 : a²-4a+4/4⁴-16=

Ответы

Ответ дал: sashaboom
0

.......................................................

Приложения:
Вас заинтересует