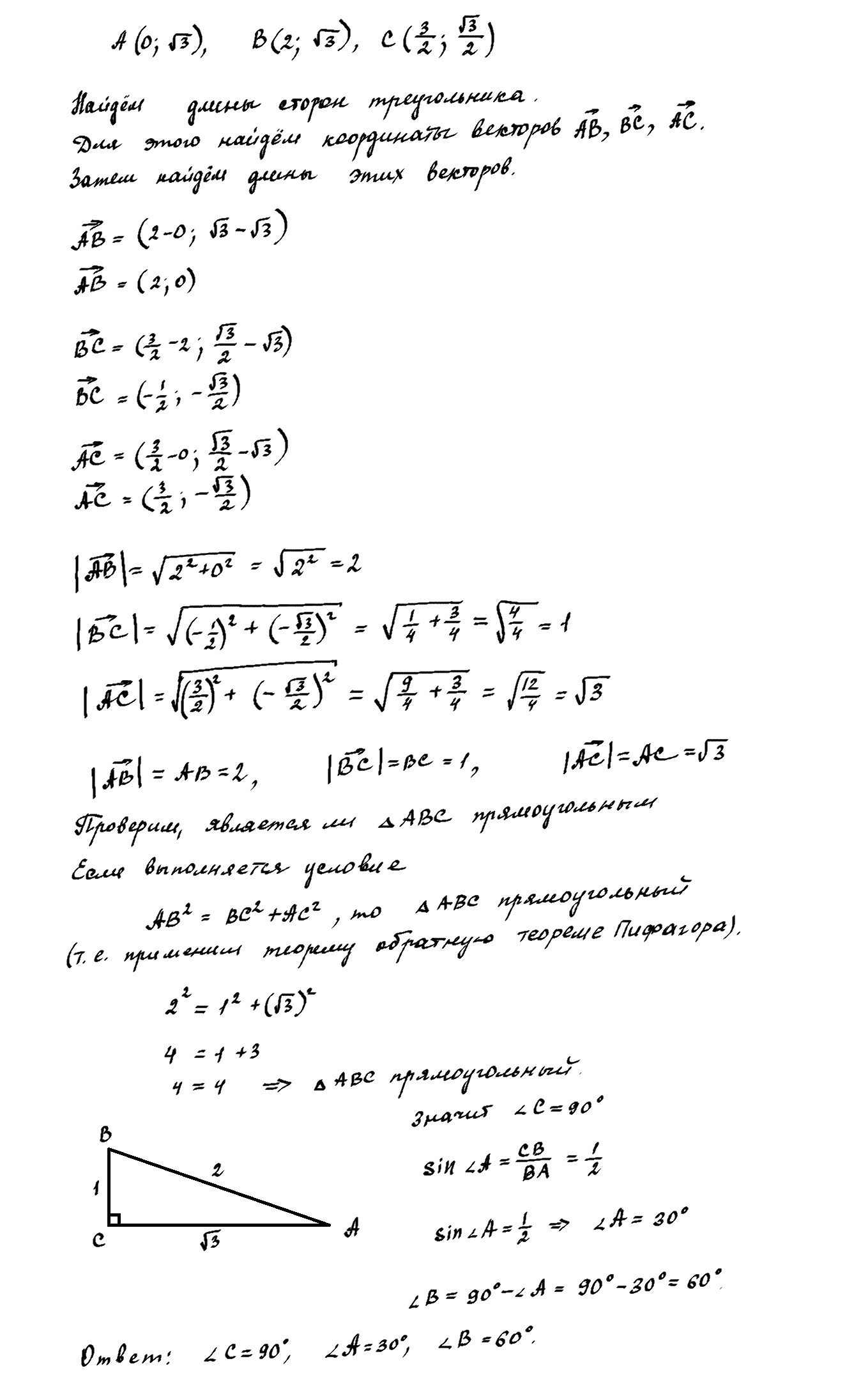
НАЙДИТЕ УГЛЫ ТРЕУГОЛЬНИКА С ВЕРШИНАМИ В ТОЧКАХ: А(0;КОРЕНЬ ИЗ 3) В(2;;КОРЕНЬ ИЗ 3) С(3/2;КОРЕНЬ ИЗ 3/2)
Ответы
Ответ дал:
0
Решение в прикрепленном файле.
Приложения:

Вас заинтересует
2 года назад
2 года назад
7 лет назад
7 лет назад
10 лет назад
10 лет назад
10 лет назад