Ответы
                                            Ответ дал: 
                                                                                    
                                        
                                            
                                                
                                                
                                                
                                                    0
                                                
                                            
                                        
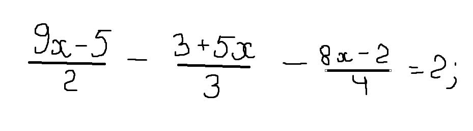
                                    (9х - 5)/2 - (3 + 5)/3 - (8х - 2)/4 = 2 умножаю все на 12
6(9х - 5) - 4(3 + 5х) - 3(8х - 2) = 12 * 2 дальше, раскрываю скобки
54х - 30 - 12 - 20х - 24х +2 = 24 преобразовываем
10х - 40 = 24
10х = 24 + 40
10х = 64
х = 64/10
х= 6,4
ответ: 6,4.
Вас заинтересует
                
                        2 года назад
                    
                
                        2 года назад
                    
                
                        8 лет назад
                    
                
                        8 лет назад
                    
                
                        10 лет назад
                    
                
                        10 лет назад
                    
                
                        10 лет назад