• Предмет: Алгебра
  • Автор: chuck9
  • Вопрос задан 11 лет назад

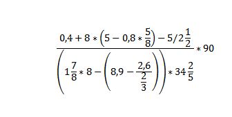
как узнать равна ли дробь нулю или не имеет смысла?

Приложения:

Ответы

Ответ дал: мяусс
0

Если в функции присутствует дробь, и знаменатель содержит переменную (х), то знаменатель дроби не должен быть равен нулю, т.к. иначе такая дробь не может существовать. Чтобы найти область определения такой дроби, нужно весь знаменатель приравнять к нулю. Решив полученное уравнение, вы найдёте те значения переменной, которые необходимо исключить из области определения.

Ответ дал: Liliya907
0

дробь не имеет смысла, когда знаменатель =0,т.к. на ноль делить нельзя.

Вас заинтересует