Основания равнобедренной трапеции равны 8 и 18, а её боковые стороны равны 13. Найдите площадь трапеции.
Ответы
Ответ дал:
0
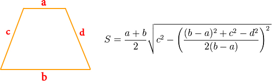
смотри формулу по которой расчитывается площадь
ответ 156
ответ 156
Приложения:

Вас заинтересует
2 года назад
2 года назад
7 лет назад
7 лет назад
10 лет назад
10 лет назад
10 лет назад