• Предмет: Алгебра
  • Автор: Аноним
  • Вопрос задан 10 лет назад

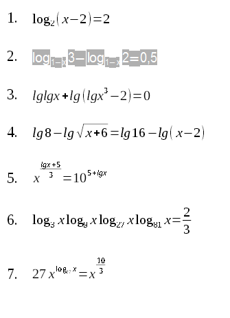
log2 ( x - 2 ) = 2 помогите решить логарифм

Приложения:

Ответы

Ответ дал: nKrynka
0
Решение
log2 (x - 2) = 2
x - 2 = 2∧2
x = 4 + 2
x = 6

Вас заинтересует