• Предмет: Алгебра
  • Автор: наСтяшк
  • Вопрос задан 10 лет назад

найдите значение выражения а в кубе+b в кубе+12ab, если известно, что a+b=4

Ответы

Ответ дал: Anastsiia
0
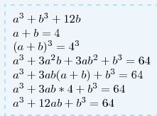
a^3+b^3+12b \ a+b=4 \ 
(a+b)^3=4^3 \ a^3+3a^2b+3ab^2+b^3=64 \a^3+3ab(a+b)+b^3=64 \ 
a^3+3ab*4+b^3=64 \ a^3+12ab+b^3=64
Ответ: 64.
Приложения:
Вас заинтересует