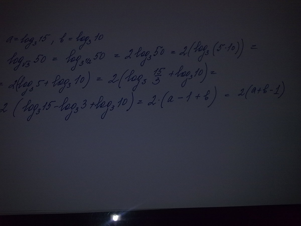
вопрос жизни и смерти!!!!! Выразить через а и б логарифм 50 по снованию корень из 3, если а= логарифм 15 по основанию 3 б= логарифм 10 по основанию 3.
Ответы
Ответ дал:
0
...............................
Приложения:

Вас заинтересует
2 года назад
7 лет назад
10 лет назад
10 лет назад
10 лет назад