• Предмет: Математика
  • Автор: So56
  • Вопрос задан 10 лет назад

Найдите значение выражения:
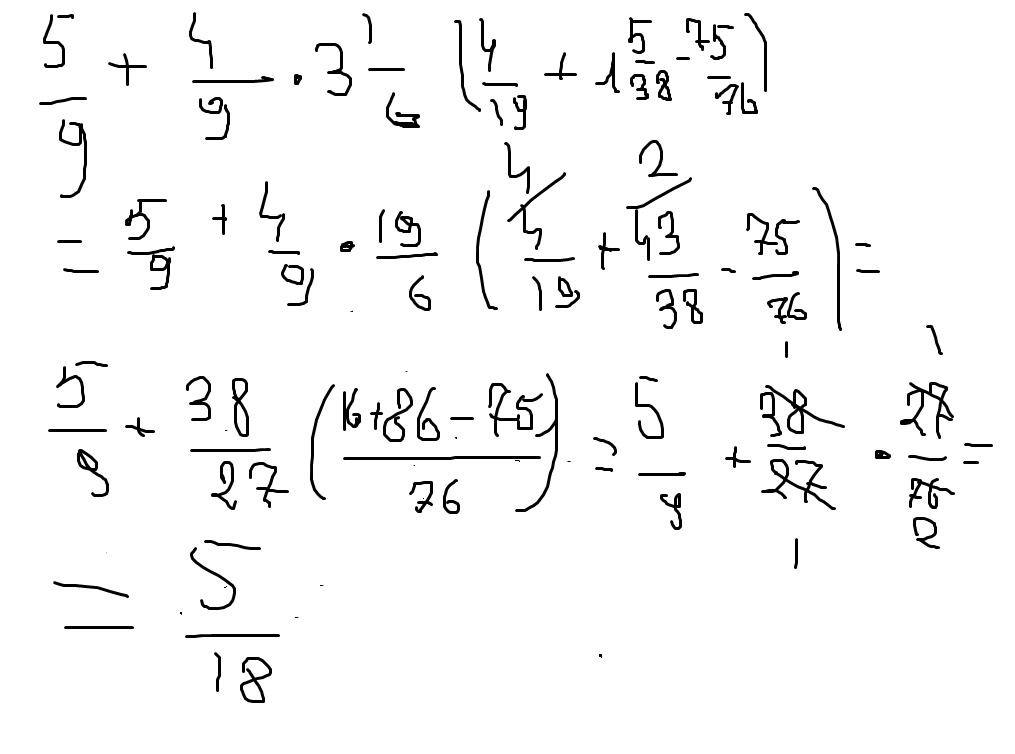
1) 5/9+4/9*3 1/6*(4/19+1 5/38-75/76)=
Помогите!

Ответы

Ответ дал: Ygas
0
Тут всё легко смотри 
Приложения:
Ответ дал: So56
0
спасибо!))
Вас заинтересует