• Предмет: Алгебра
  • Автор: Loveless28
  • Вопрос задан 11 лет назад

f(x)= 1/ квадратный корень из 2х- х2 (в квадрате) Найти область определения функции

Ответы

Ответ дал: rokfeller007
0

1/2х-х^2

Одз:

1)знаминательне равен нулю √2х-х^2 ≠ 0

2)подкоренное выражение больше(или равно) нуля 2х-х^2 >0

2х-х^2 >0

x(2-x)>0

x1=0

x2=2     -     дальше решить методом интервалов

x∈(0;2)

Ответ:x∈(0;2)

Ответ дал: WhatYouNeed
0

На ноль делить нельзя; подкоренное выражение должно быть неотрицательным.

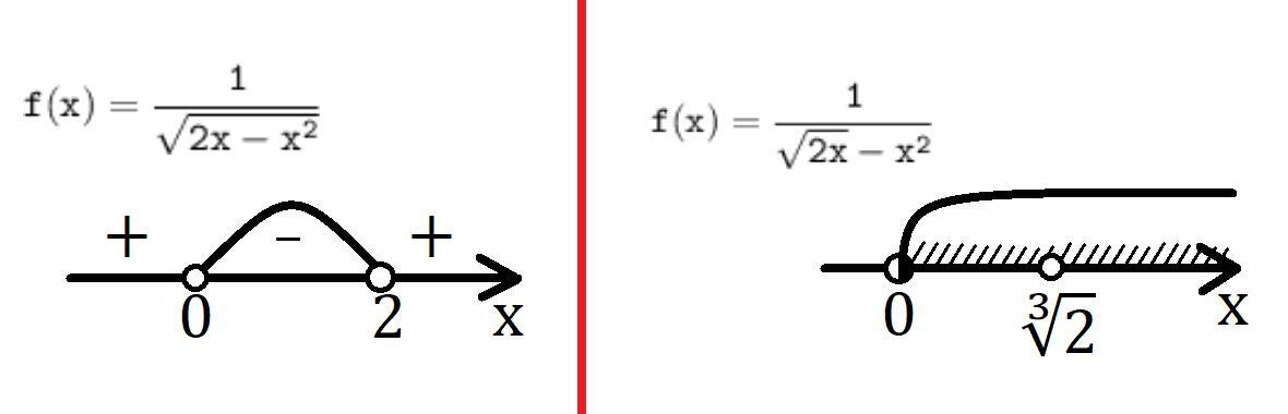
Для функции tt displaystyle f(x)=frac1{sqrt{2x-x^2 }} :

displaystyle begin{Bmatrix}sqrt{2x-x^2 } ne 0\ 2x-x^2 ge 0end{matrix} quad begin{Bmatrix}2x-x^2ne 0\ 2x-x^2 ge 0end{matrix} \ \ 2x-x^2>0; ;; begin{vmatrix} \end{matrix} cdot ($-$1)<0\ \ x^2-2x<0\ x(x-2)<0

Решим методом интервалов.

x∈(0;2)

Ответ: D(f) = (0;2).

Для функции tt displaystyle f(x)=frac1{sqrt{2x} -x^2 }} :

displaystyle begin{Bmatrix}sqrt{2x} -x^2 ne 0\ 2xge 0qquad end{matrix} quad begin{Bmatrix}sqrt{2x} ne x^2 \ xge 0quad end{matrix} \ \ begin{Bmatrix}2xne x^4 ge 0\ xge 0qquad end{matrix} quad begin{Bmatrix}x(x^3 -2)ne 0\ xge 0qquad end{matrix} \ \ begin{Bmatrix}xne { 0;sqrt[3]2} \ xge 0qquad end{matrix}

displaystyle xin (0;sqrt[3]2)cup (sqrt[3]2 ;+infty )

Ответ: tt displaystyle D(f)=(0;sqrt[3]2)cup (sqrt[3]2 ;+infty ).

Приложения:
Вас заинтересует