Срочно, пожалуйста. ))
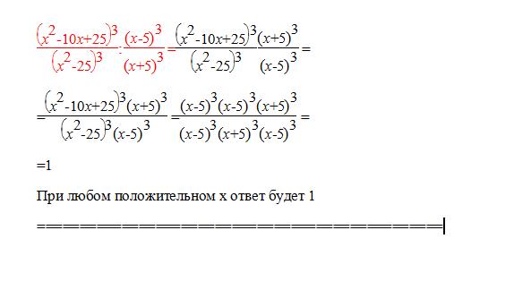
Найдите значение выражения при х =
3
7 _____
23
(х²-10х+25)³ (х-5)³
___________ : _______________
(х²-25)³ (х+5)³
Ответы
Ответ дал:
0
=====================================================
Приложения:

Вас заинтересует
2 года назад
2 года назад
8 лет назад
8 лет назад
10 лет назад
10 лет назад