Как узнать сколько химических элементов в организме зная вес и процент содержания элемента(например азот 5,0%)
Напишите пример подробно! Спасибо))
Ответы
Ответ дал:
0
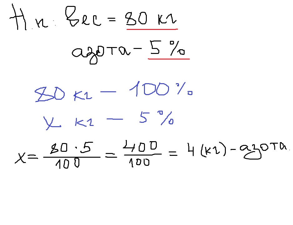
Вот пример с решением с азотом.
Приложения:

Ответ дал:
0
Скажите, а это точно кг? Может граммы?
Ответ дал:
0
По расчетам получается 4 кг. Ну поймите, это не факт, что в организме аж 5% азота от массы тела. По-моему, это слишком большой процент.
Вас заинтересует
2 года назад
2 года назад
7 лет назад
10 лет назад
10 лет назад
10 лет назад