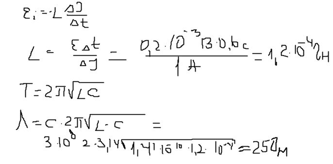
При изменении силы тока в катушке индуктивности на ΔI = 1 А за время Δt = 0,6 с в ней индуцируется ЭДС, равная ε = 0,2 мВ. Какую длину будет иметь радиоволна, излучаемая генератором, колебательный контур которого состоит из этой катушки и конденсатора емкостью С = 14,1 нФ?
Ответы
Ответ дал:
0
Решение во вложении.
В катушке возбуждается ЭДС самоиндукции. Можно найти индуктивность катушки. Период из формулы Томсона. А длину волны как скорость электромагнитной волны умножить на период. Скорость ЭМ волны= скорости света в вакууме
Приложения:

Вас заинтересует
2 года назад
2 года назад
8 лет назад
8 лет назад
10 лет назад
10 лет назад
10 лет назад