• Предмет: Геометрия
  • Автор: EkaterinaRey
  • Вопрос задан 11 лет назад

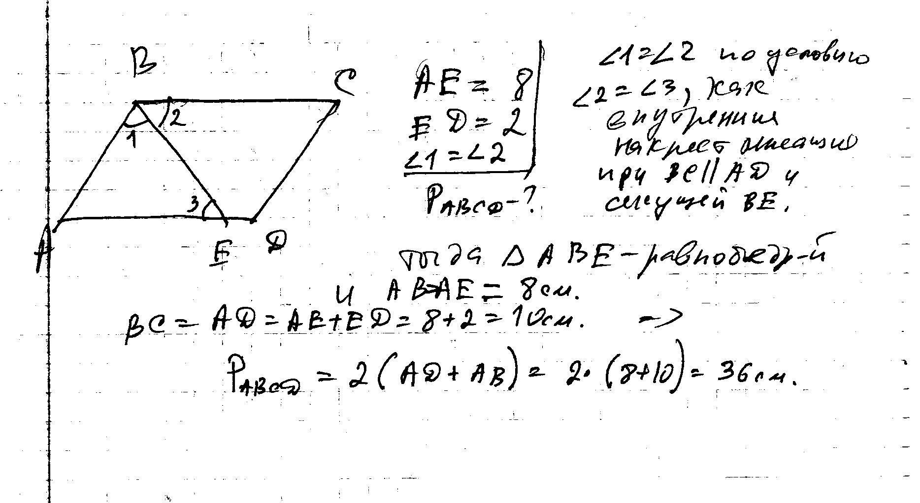
Дано: ABCD -параллелограм,ВЕ-биссектриса угла АВС, АЕ=8 см.,а ЕD=2 см. Найти:периметр параллелограмма

Ответы

Ответ дал: ужнеужели
0
решение в скане................
Приложения:
Вас заинтересует