• Предмет: Алгебра
  • Автор: carambaa
  • Вопрос задан 11 лет назад

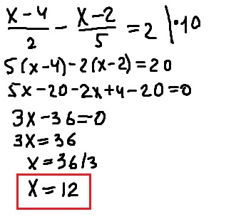
Решить уравнение: х-4/2 - х-2/5 = 2

Ответы

Ответ дал: Аноним
0

РЕШЕНИЕ:

см. вложение

========================================

Приложения:
Вас заинтересует